暨南大学油料生物炼制与营养创新团队博士研究生谢朋凯与硕士研究生汪峰在Food Chemistry期刊中科院农林科学1区TOP,影响因子8.5)发表了题为“ Redefining shortening: Systematically characterizing conventional and new enriched diacylglycerol shortening and exploring their impact on processing applications”的研究论文,由张震副教授指导并为通讯作者。

一、研究背景
起酥油是由食用动植物油脂及其氢化、分提、酯交换油脂混合而成,经过急冷捏合或不经过急冷捏合,添加或不添加食品添加剂和营养强化剂而制成的固体、半固体或流动状态的油脂制品。起酥油具有可塑性、起酥性、酪化性等加工特性。起酥油的固体脂是可塑性等加工特性的基础,现阶段起酥油的固体脂仍以猪油、精炼棕榈油、全氢化油脂等为主。
猪油的晶型偏向为β型,其结晶产生的晶体颗粒粗大,将其应用于塑性脂肪产品中,会使产品产生后硬现象,降低产品品质。猪油中含有较高含量的胆固醇。胆固醇摄入过多会引起人体相关的心血管疾病,影响人体的健康。由于宗教信仰问题,限制了猪油及其制品的应用。DAG是甘油二酯油的主要组成部分,它是一类甘油骨架上的一个脂肪酸链被羟基取代的结构脂质。DAG为甘油骨架仅有两个脂肪酰基的结构脂质,DAG的代谢途径不同于传统TAG,摄入后难以再合成中性脂肪,对于控制体内脂肪积累,降低血脂和餐后血糖效果显著。与相同脂肪酸组成的TAG相比,DAG的熔点更高。相关研究表明,DAG可以延缓β′晶体的转变。因此,DAG可以作为起酥油的基料油替代品。
起酥油在生产过程中除了基料油外,一般还会添加少量的乳化剂。起酥油中的乳化剂在应用过程能与面筋蛋白相互作用使面团形成较好的网络结构,还能与水分结合形成有序结构,赋予起酥油良好的酪化性以及吸水性。添加乳化剂能使蛋糕、饼干等烘焙产品硬度、老化率较低,还可产生良好的风味特点和感官属性。此外,乳化剂还可以延迟β′型向β型的转变。β'晶型有助于形成精细的结晶网络,使起酥油具有良好的可塑性。
二、研究方法
本研究将中链、中长链和长链三种甘油二酯油和熔点较低的花生油甘油二酯油(PO-DAG-oil)进行复配,对其相容性进行研究,根据猪油的SFC确定三种甘油二酯基起酥油的复配比例,进一步添加1%不同的乳化剂(Span 60、PGFE、MAG、S370),对其结晶性质、流变及质构性质、晶型与微观结构、吸水性和酪化性等功能特性进行研究,确定合适的乳化剂。通过烘焙实验进行验证,为后续甘油二酯在起酥油中的应用提供研究基础。
三、研究结果
确定了与低熔点花生油甘油二酯油的复配比例为:MCD-起酥油;MCD-oil : PO-DAG-oil = 6 : 4(w/w);MLCD-起酥油;MLCD-oil : PO-DAG-oil = 6 : 4(w/w);LCD-起酥油;LCD-oil : PO-DAG-oil = 4:6(w/w),混合体系均以共晶形式存在。MCD-起酥油中添加乳化剂后吸水性和酪化性均降低。其中MCD-起酥油添加MAG后出现了起砂现象,硬度和G'均提高,添加PGFE、S370和Span 60后脂肪晶体出现细微增大,硬度和G'降低。MLCD-起酥油中添加乳化剂后吸水性降低。其中向MLCD-起酥油中添加MAG和PGFE酪化性提高,添加S370和Span 60降低酪化性。除添加S370外,其他三种乳化剂均降低了MLCD-起酥油的硬度和G'。LCD-起酥油中添加乳化剂后吸水性降低,硬度和G'降低。LCD-起酥油中添加MAG和PGFE后晶体出现聚集导致尺寸变大。除添加PGFE外,其他三种乳化剂均降低了LCD-起酥油的酪化性。

图1 MCD-oil—PO-DAG、MLCD-oil—PO-DAG和LCD-oil—PO-DAG二元复合体系的实测SFC曲线、ΔSFC曲线和等固相图

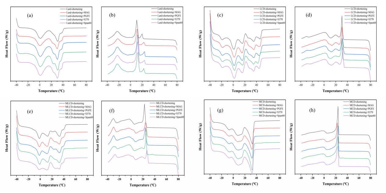
图2 四种起酥油添加乳化剂前后的结晶融化曲线

图3 四种起酥油添加乳化剂前后的结晶融化曲线

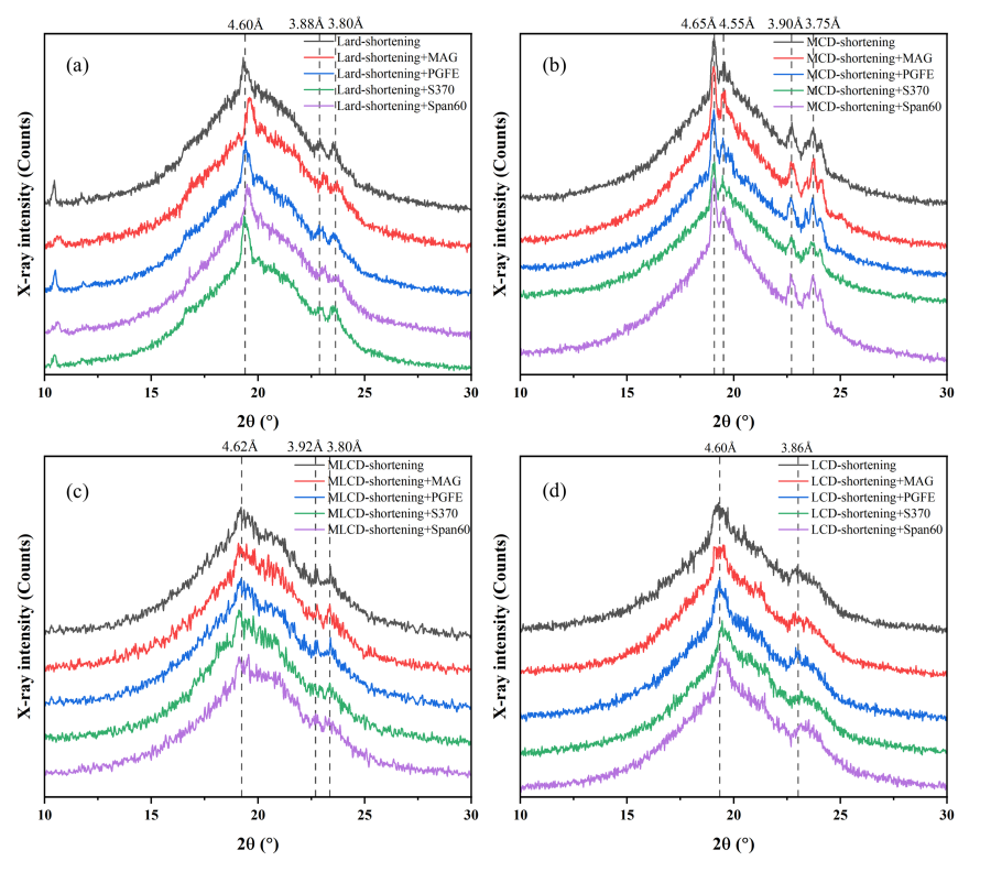
图4 四种起酥油添加乳化剂前后的X射线衍射谱图

图5四种起酥油添加乳化剂前后的吸水性与酪化性
四、研究结论
通过模拟猪油,确定了甘油二酯基起酥油的最佳配比:MCD-起酥油, MCD-oil:PO-DAG=6:4(w/w);MLCD-起酥油,MLCD-oil:PO-DAG =6:4(w/w);LCD-起酥油,LCD-oil:PO-DAG=4:6(w/w)。进一步研究了乳化剂对四种起酥油相关性质的影响,确定适合猪油起酥油、LCD-起酥油、MCD-起酥油和MLCD-起酥油的乳化剂分别为Span 60、PGFE、PGFE和MAG。相比于猪油基起酥油,甘油二酯基起酥油在烘焙蛋糕时表现出更完整饱满的外观,内部气孔更加均匀,比体积更大,且质构特性更佳。此外,使用猪油起酥油制作的蛋糕L*值低于甘油二酯基起酥油的蛋糕,后者能够提升蛋糕的亮度。甘油二酯基起酥油蛋糕含有更多结合水,减缓了蛋糕中水分的流失,从而延长了货架期。此外,四种起酥油在使用前后的3-MCPDE和GEs含量均符合欧盟标准,表明将甘油二酯基起酥油应用于烘焙食品中,加工污染物水平是可控的。并且甘油二酯基起酥油的感官评价得分较高,与测试结果一致。在未来的工业生产中,有必要实现DAG的大规模制备,并评估不同比例的乳化剂对起酥油性能的影响。该研究为高熔点甘油二酯油用于起酥油生产奠定了基础,对DAG的推广应用具有重要意义。
本研究工作得到国家自然科学基金(32272341)、国家重点研发计划项目(2023YFD2100401)、国家重点研发计划项目(2023YFD2100401)、广州市科技计划(2024A04J3254)、油料脂质化学与营养湖北省重点实验室开放基金资助(202401)以及广东省重点领域研发计划(2022B0202010003)的支持。
原文文献:
Xie Pengkai, Wang Feng, Zhou Jun, Lee Yee-Ying, Zhang Yufei, Zou Shuo, Wang Yong & Zhang Zhen. (2025). Redefining shortening: Systematically characterizing traditional and new enriched diacylglycerol shortening and exploring their impact on processing applications. Food Chemistry, 466, 142196.
作者简介:

谢朋凯,暨南大学2023级生物与医药博士研究生,研究方向为油脂生物炼制与营养。目前已在油脂酶法改性、特种油脂研发与稀奶油质量控制等方面开展研究。在研究领域发表文章10余篇,其中以第一作者在Food Hydrocolloids,Food Chemistry,Food Bioscience,Journal of Food Engineering等期刊上发表SCI收录论文7篇,CSCD收录论文1篇,申请国家发明专利1项。

汪峰,暨南大学2023级生物与医药硕士研究生,研究方向为油脂生物炼制与营养。目前已在脂肪酶固定化、酶法酯交换制备结构脂等方面开展研究。

张震,博士/副教授,暨南大学食品科学与工程系副主任,入选“暨南英才计划”暨南杰青(第一层次),《中国油脂》, 《Journal of Future Foods》和《Grain & Oil Science and Technology》青年编委,长期从事油脂改性加工与应用基础及其产业化研究。在 Bioresource Technology、Critical Reviews in Food Science and Nutrition、Journal of Agricultural and Food Chemistry、Food Chemistry 和 Industrial Crops and Products 等期刊以第一/通讯作者发表论文50余篇;申请发明专利30余件,授权10余件;主持国家自然科学基金项目2项,省部级科研项目6项,承担校企横向课题8项;起草(排名第二)团体标准2项;主编或参编出版包括《甘油二酯油与人体健康》、《食品脂类学》 等在内的编著3部。
 English
 English

